3.1 For which value(s) of m will the equation 2x(x + 1) + m = x have non-real roots?(5)
3.2 If: 
For which value(s) of x is f(x) not defined?(5)
[10]
3.1 For which value(s) of m will the equation 2x(x + 1) + m = x have non-real roots?(5)
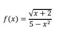
3.2 If: 
For which value(s) of x is f(x) not defined?(5)
[10]