Skip to content
axium education
  • HOME
  • GRADE
    • GRADE 10
      • ENGLISH
      • MATHEMATICS
      • MATHEMATICS LITERACY
      • PHYSICAL SCIENCE
    • GRADE 11
      • ENGLISH
      • MATHEMATICS
      • MATHEMATICS LITERACY
      • PHYSICAL SCIENCE
    • GRADE 12
      • ENGLISH
      • MATHEMATICS
      • MATHEMATICS LITERACY
      • PHYSICAL SCIENCE
  • RECENTLY ADDED

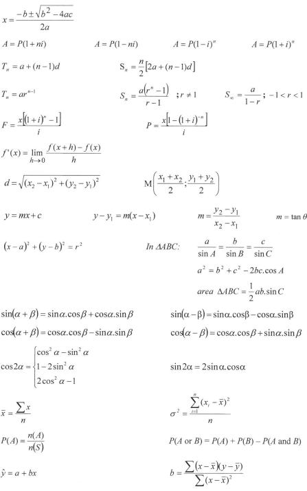
Information Sheet

February 15, 2022 by devozeeba

How useful was this Question?

Click on a star to rate it!

Average rating 0 / 5. Vote count: 0

No votes so far! Be the first to rate this question.

Categories Grade 12 Mathematics 2016 Paper 1 Tags 2016, grade12, infomation sheet, maths, paper1
Question 5
Question 3

2022

Grade 12 English Paper 1 May-June FAL
Paper 1 May-June HL
Grade 12 Physical Science Paper 1 May-June (English)
Paper 2 May-June (English)

2021

Grade 12 English Paper 1 May-June
Paper 1 November
Paper 2 November Grade 12 Physical Science Paper 1 May-June (English)
Paper 2 May-June (English)
Vraestel 1 Mei-June (Afrikaans)
Vraestel 2 Mei-June (Afrikaans)
Vraestel 1 November (Afrikaans)
Paper 2 November (English)

2020

Grade 12 English Paper 1
Paper 2
Paper 3
Grade 12 Maths Lit Paper 1
Paper 2
Grade 12 Maths Paper 1
Paper 2
Grade 12 Physical Science Paper 1
Paper 2

Grade 11 English Paper 1
Paper 2
Paper 3
Grade 11 Maths Lit Paper 1
Paper 2
Grade 11 Maths Paper 1
Paper 2
Grade 11 Physical Science Paper 1
Paper 2

Grade 10 English
Grade 10 Maths Lit Paper 1
Paper 2
Grade 10 Maths Paper 1
Paper 2
Grade 10 Physical Science Paper 1
Paper 2

2019

Grade 12 English Paper 1
Paper 2
Paper 3
Grade 12 Maths Lit Paper 1
Paper 2
Grade 12 Maths Paper 1
Paper 2
Grade 12 Physical Science Paper 1
Paper 2

Grade 11 English Paper 1
Paper 2
Paper 3
Grade 11 Maths Lit Paper 1
Paper 2
Grade 11 Maths Paper 1
Paper 2
Grade 11 Physical Science Paper 1
Paper 2

Grade 10 English Paper 3
Grade 10 Maths Lit Paper 1
Paper 2
Grade 10 Maths Paper 1
Paper 2
Grade 10 Physical Science Paper 1
Paper 2

2018

Grade 12 English Paper 1
Paper 2
Paper 3
Grade 12 Maths Lit Paper 1
Paper 2
Grade 12 Maths Paper 1
Paper 2
Grade 12 Physical Science Paper 1
Paper 2

Grade 11 English Paper 1
Paper 2
Paper 3
Grade 11 Maths Lit Paper 1
Paper 2
Grade 11 Maths Paper 1
Paper 2
Grade 11 Physical Science Paper 1
Paper 2

Grade 10 English Paper 3
Grade 10 Maths Lit Paper 1
Paper 2
Grade 10 Maths Paper 1
Paper 2
Grade 10 Physical Science Paper 1
Paper 2

2017

Grade 12 English Paper 1
Paper 2
Paper 3
Grade 12 Maths Lit Paper 1
Paper 2
Grade 12 Maths Paper 1
Paper 2
Grade 12 Physical Science Paper 1
Paper 2

Grade 11 English Paper 1
Paper 2
Paper 3
Grade 11 Maths Lit Paper 1
Paper 2
Grade 11 Maths Paper 1
Paper 2
Grade 11 Physical Science Paper 1
Paper 2

Grade 10 English Paper 3
Grade 10 Maths Lit Paper 1
Grade 10 Maths Paper 1
Paper 2
Grade 10 Physical Science Paper 1
Paper 2

2016

Grade 12 English Paper 1
Paper 2
Paper 3
Grade 12 Maths Lit
Grade 12 Maths Paper 1
Paper 2
Grade 12 Physical Science Paper 1
Paper 2

Grade 11 English Paper 1
Paper 3
Grade 11 Maths Lit Paper 1
Grade 11 Maths Paper 1
Paper 2
Grade 11 Physical Science Paper 1
Paper 2

Grade 10 English
Grade 10 Maths Lit
Grade 10 Maths Paper 1
Paper 2
Grade 10 Physical Science Paper 1
Paper 2

2015

Grade 12 English Paper 1
Paper 2
Paper 3
Grade 12 Maths Lit Paper 1
Paper 2
Grade 12 Maths Paper 1
Paper 2
Grade 12 Physical Science Paper 1
Paper 2

Grade 11 English Paper 1
Paper 3
Grade 11 Maths Lit Paper 1
Paper 2
Grade 11 Maths Paper 1
Paper 2
Grade 11 Physical Science Paper 1
Paper 2

Grade 10 English
Grade 10 Maths Lit
Grade 10 Maths Paper 1
Paper 2
Grade 10 Physical Science Paper 1
Paper 2

2014

Grade 12 English
Grade 12 Maths Lit
Grade 12 Maths
Grade 12 Physical Science

Grade 11 English
Grade 11 Maths Lit
Grade 11 Maths
Grade 11 Physical Science

Grade 10 English
Grade 10 Maths Lit
Grade 10 Maths
Grade 10 Physical Science

2013

Grade 12 English
Grade 12 Maths Lit
Grade 12 Maths
Grade 12 Physical Science

Grade 11 English
Grade 11 Maths Lit
Grade 11 Maths
Grade 11 Physical Science

Grade 10 English
Grade 10 Maths Lit
Grade 10 Maths
Grade 10 Physical Science

2012

Grade 12 English
Grade 12 Maths Lit
Grade 12 Maths
Grade 12 Physical Science

Grade 11 English
Grade 11 Maths Lit
Grade 11 Maths
Grade 11 Physical Science

Grade 10 English
Grade 10 Maths Lit
Grade 10 Maths
Grade 10 Physical Science

Follow Us

Please follow us on our social media

  • Instagram
  • Facebook
  • YouTube

Recently Uploaded

To view all papers that was recently added

Latest Uploads

Bug Report

Contact Form Demo (#3)
© 2026 axium education • Built with GeneratePress

    Previous Post

  • Question 12